你提供的照片可能用于改善必应图片处理服务。
隐私政策
|
使用条款
无法使用此链接。检查链接是否以 "http://" 或 "https://" 开头,然后重试。
无法处理此搜索。请尝试其他图像或关键字。
试用视觉搜索
使用图像搜索、识别对象和文本、翻译或解决问题
将一个或多个图像拖到此处,
上传图像
或
打开相机
将图像放置到任意位置以开始搜索
要使用可视化搜索,请在浏览器中启用相机
English
全部
搜索
图片
灵感
创建
集合
视频
地图
资讯
更多
购物
航班
旅游
笔记本
Report Essay Format 的热门建议
Research Paper
Format
Essay Format
Template
Essay
Sample
Report
Sample
Report Format
Example
Report
Writing Format
Essay
Structure
Essay
Examples
Book Report
Examples
Examples of MLA
Format
Academic Report
Template
Formal Essay
Example
Interview Essay
Sample
Interview
Outline
Academic
Papers
Study Report
Example
News Report
Sample
How to Write a
Report Example
Essay
Samples
Research
Layout
Business Report
Example
Technical Report
Example
Essay Format
with Equations
Formative Essay
Example
Book Report
Examples College
Stanford
Essay Format
For
Example
Practical Writing
Example
自动播放所有 GIF
在这里更改自动播放及其他图像设置
自动播放所有 GIF
拨动开关以打开
自动播放 GIF
图片尺寸
全部
小
中
大
特大
至少... *
自定义宽度
x
自定义高度
像素
请为宽度和高度输入一个数字
颜色
全部
仅限颜色
黑白
类型
全部
照片
剪贴画
素描
动画 GIF
透明
版式
全部
方形
横版
高
人物
全部
仅脸部
半身像
日期
全部
过去 24 小时
过去一周
过去一个月
去年
授权
全部
所有创作共用
公共领域
免费分享和使用
在商业上免费分享和使用
免费修改、分享和使用
在商业上免费修改、分享和使用
详细了解
清除筛选条件
安全搜索:
中等
严格
中等(默认)
关闭
筛选器
Research Paper
Format
Essay Format
Template
Essay
Sample
Report
Sample
Report Format
Example
Report
Writing Format
Essay
Structure
Essay
Examples
Book Report
Examples
Examples of MLA
Format
Academic Report
Template
Formal Essay
Example
Interview Essay
Sample
Interview
Outline
Academic
Papers
Study Report
Example
News Report
Sample
How to Write a
Report Example
Essay
Samples
Research
Layout
Business Report
Example
Technical Report
Example
Essay Format
with Equations
Formative Essay
Example
Book Report
Examples College
Stanford
Essay Format
For
Example
Practical Writing
Example
768×1024
scribd.com
4.report Writing Format PDF | PDF | Arial | Paragraph
2608×1967
ar.inspiredpencil.com
Report Format In Essay Plan
850×1100
animalia-life.club
Report Format In Essay Plan
1350×1558
animalia-life.club
Report Format In Essay Plan
1200×1696
prntbl.concejomunicipaldechinu.gov.co
Essay Format Template - prntbl.concejomunicipaldech…
1180×1313
essayservice.com
How to Write a Report: Guide to Report Writing | EssaySer…
1620×911
studypool.com
SOLUTION: Report Writing Format with Templates and …
768×1024
scribd.com
Report Writing & It's Format-MAIN | PDF | Verb | Subject …
452×640
slideshare.net
Book Report Essay Format | PDF
1932×2500
animalia-life.club
Report Format In Essay Plan
1200×1696
template.net
Free MLA Format Essay Template to Edit Online
1920×1080
fity.club
Essay Examples
999×1024
uroomsurf.com
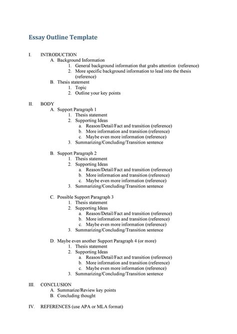
Essay Outline Templates and the Examples | room surf.com
1200×1553
studocu.com
5 Report writing format - 5. Report writing and documen…
618×800
ar.inspiredpencil.com
Report Format In Essay Plan
600×730
animalia-life.club
Report Format In Essay Plan
1280×720
animalia-life.club
Report Format In Essay Plan
768×1024
formsbirds.com
Report Writing Format - 3 Free Templates in PDF, Word, Ex…
1023×1200
artofit.org
Report writing format template – Artofit
1000×1288
rocco-has-lambert.blogspot.com
How to Write a Report Essay - Rocco-has-Lambert
765×988
artofit.org
Free 41 sample report writing format templates in pdf – Art…
1160×600
ar.inspiredpencil.com
Report Format In Essay Plan
736×1040
ar.inspiredpencil.com
Report Format In Essay Plan
1540×1999
animalia-life.club
Report Format In Essay Plan
768×994
animalia-life.club
Report Format In Essay Plan
1160×600
brunofuga.adv.br
Printable Report Writing Format 20 Examples, Forma…
768×994
studylib.net
How to Write a Report Essay: A Comprehensive Guide
768×1024
scribd.com
Report Writing Format For College Students | PDF | Ca…
1535×3189
ar.inspiredpencil.com
Report Format In Essay Plan
1932×2500
animalia-life.club
Report Format In Essay Plan
1200×481
animalia-life.club
Report Format In Essay Plan
1363×1500
animalia-life.club
Report Format In Essay Plan
452×640
slideshare.net
Report Style Essay.pdf
1619×2291
studypool.com
SOLUTION: Easy format report writing - Studypool
1620×911
studypool.com
SOLUTION: Report Writing Format with Templates and …
某些结果已被隐藏,因为你可能无法访问这些结果。
显示无法访问的结果
报告不当内容
请选择下列任一选项。
无关
低俗内容
成人
儿童性侵犯
反馈