你提供的照片可能用于改善必应图片处理服务。
隐私政策
|
使用条款
无法使用此链接。检查链接是否以 "http://" 或 "https://" 开头,然后重试。
无法处理此搜索。请尝试其他图像或关键字。
试用视觉搜索
使用图像搜索、识别对象和文本、翻译或解决问题
将一个或多个图像拖到此处,
上传图像
或
打开相机
将图像放置到任意位置以开始搜索
要使用可视化搜索,请在浏览器中启用相机
English
全部
搜索
图片
灵感
创建
集合
视频
地图
资讯
更多
购物
航班
旅游
笔记本
自动播放所有 GIF
在这里更改自动播放及其他图像设置
自动播放所有 GIF
拨动开关以打开
自动播放 GIF
图片尺寸
全部
小
中
大
特大
至少... *
自定义宽度
x
自定义高度
像素
请为宽度和高度输入一个数字
颜色
全部
仅限颜色
黑白
类型
全部
照片
剪贴画
素描
动画 GIF
透明
版式
全部
方形
横版
高
人物
全部
仅脸部
半身像
日期
全部
过去 24 小时
过去一周
过去一个月
去年
授权
全部
所有创作共用
公共领域
免费分享和使用
在商业上免费分享和使用
免费修改、分享和使用
在商业上免费修改、分享和使用
详细了解
清除筛选条件
安全搜索:
中等
严格
中等(默认)
关闭
筛选器
768×1024
scribd.com
Finding A Lead Compound: Kulia…
638×479
alchetron.com
Lead compound - Alchetron, The Free Social Encyclopedia
622×435
alchetron.com
Lead compound - Alchetron, The Free Social Encyclopedia
688×443
alchetron.com
Lead compound - Alchetron, The Free Social Encyclopedia
768×1024
scribd.com
Lead Discovery | PDF | Organic C…
940×307
gilga-med.com
Identification of Lead Compound | Gilga-Med Inc.
850×616
researchgate.net
Preclinical lead compound identification. The process of lead c…
850×486
researchgate.net
Structure of lead compound (8) and associated data | Download ...
600×776
academia.edu
(PDF) Natural Lead Compound in Dru…
814×415
researchgate.net
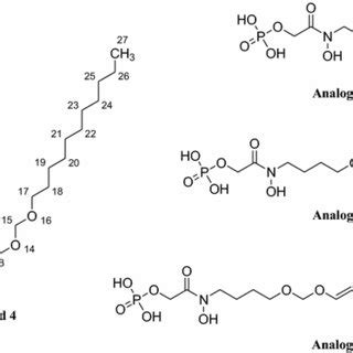
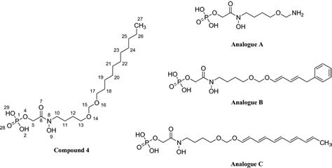
Lead compound (compound 4) and proposed modifications | Download ...
320×320
researchgate.net
Lead compound (compound 4) and proposed modifica…
850×1141
researchgate.net
Chemical structure of lead compoun…
320×320
researchgate.net
Chemical structure of lead compound 1. | Download …
850×401
researchgate.net
Scheme 1. Inset Shows the Structure of Lead Compound 1. Synthesis of ...
850×648
researchgate.net
Lead compound 1 and its homologues 2 and 3. | Downlo…
850×440
researchgate.net
Scheme 1. Synthesis of Initial Lead Compound 2 a | Download Scientific ...
320×320
researchgate.net
Scheme 1. Inset Shows the Structure of Lead …
850×495
researchgate.net
Structures of the lead compound 9 and designed compounds | Download ...
320×320
researchgate.net
The discovery of the lead compound 8 | …
747×815
researchgate.net
Synthesis and chemical optimiza…
381×381
researchgate.net
The structure of lead compound (Compou…
731×377
researchgate.net
-Structure of previously synthesized lead compound A. | Download ...
542×542
researchgate.net
-Structure of previously synthesized lead com…
286×286
researchgate.net
The structure of lead compound (Compoun…
2955×2953
chomixbio.com
Chemoproteomic Discovery of New Lead Structures for Undr…
4224×1853
chomixbio.com
Chemoproteomic Discovery of New Lead Structures for Undruggable Targets
320×320
ResearchGate
Chemical structure of the two lead compou…
850×199
researchgate.net
Structure of lead compound and structure-activity relationship design ...
850×537
researchgate.net
A Molecular structures of the lead compound B Structural template for ...
768×512
wysebridge.com
What is the difference between a lead compound and a target com…
730×465
ResearchGate
Chemical structure of the two lead compounds. The lead compound ...
506×506
researchgate.net
Design of lead compound 11 and strategies of mo…
767×387
researchgate.net
Lead compound search & utilization from plants. 1. Unmodified natural ...
850×827
researchgate.net
The pose and interactions between the identified le…
696×383
ResearchGate
Lead compound obtained through virtual screening of a library of ...
某些结果已被隐藏,因为你可能无法访问这些结果。
显示无法访问的结果
报告不当内容
请选择下列任一选项。
无关
低俗内容
成人
儿童性侵犯
反馈