你提供的照片可能用于改善必应图片处理服务。
隐私政策
|
使用条款
无法使用此链接。检查链接是否以 "http://" 或 "https://" 开头,然后重试。
无法处理此搜索。请尝试其他图像或关键字。
试用视觉搜索
使用图像搜索、识别对象和文本、翻译或解决问题
将一个或多个图像拖到此处,
上传图像
或
打开相机
将图像放置到任意位置以开始搜索
要使用可视化搜索,请在浏览器中启用相机
English
全部
搜索
图片
灵感
创建
集合
视频
地图
资讯
更多
购物
航班
旅游
笔记本
辅助角公式 的热门建议
和差化积
三角函数公式
三角函数公式大全
降幂公式
诱导公式
二倍角
Cos2x
Sin
45
高数公式
Cos公式
万能公式
Φ
Sin
30
Sin Cos
Tan度数公式
正切公式
总角
平方和公式
弦长公式
降次公式
方位角
三角恒等变换公式
三次方公式
Sin2x图像
不等式公式
函数
sin2A
勾股定理公式
Cotx
反三角函数公式
高中三角函数公式
自动播放所有 GIF
在这里更改自动播放及其他图像设置
自动播放所有 GIF
拨动开关以打开
自动播放 GIF
图片尺寸
全部
小
中
大
特大
至少... *
自定义宽度
x
自定义高度
像素
请为宽度和高度输入一个数字
颜色
全部
仅限颜色
黑白
类型
全部
照片
剪贴画
素描
动画 GIF
透明
版式
全部
方形
横版
高
人物
全部
仅脸部
半身像
日期
全部
过去 24 小时
过去一周
过去一个月
去年
授权
全部
所有创作共用
公共领域
免费分享和使用
在商业上免费分享和使用
免费修改、分享和使用
在商业上免费修改、分享和使用
详细了解
清除筛选条件
安全搜索:
中等
严格
中等(默认)
关闭
筛选器
和差化积
三角函数公式
三角函数公式大全
降幂公式
诱导公式
二倍角
Cos2x
Sin
45
高数公式
Cos公式
万能公式
Φ
Sin
30
Sin Cos
Tan度数公式
正切公式
总角
平方和公式
弦长公式
降次公式
方位角
三角恒等变换公式
三次方公式
Sin2x图像
不等式公式
函数
sin2A
勾股定理公式
Cotx
反三角函数公式
高中三角函数公式
600×571
zhuanlan.zhihu.com
辅助角公式 - 知乎
1080×888
zhuanlan.zhihu.com
辅助角公式 - 知乎
2048×1536
zhuanlan.zhihu.com
辅助角公式 - 知乎
2048×1983
zhuanlan.zhihu.com
辅助角公式 - 知乎
1080×571
zhuanlan.zhihu.com
辅助角公式 - 知乎
1080×1897
zhuanlan.zhihu.com
辅助角公式 - 知乎
946×1119
zhuanlan.zhihu.com
辅助角公式 - 知乎
886×1071
zhuanlan.zhihu.com
辅助角公式 - 知乎
4379×2938
zhuanlan.zhihu.com
辅助角公式 - 知乎
1022×3433
zhuanlan.zhihu.com
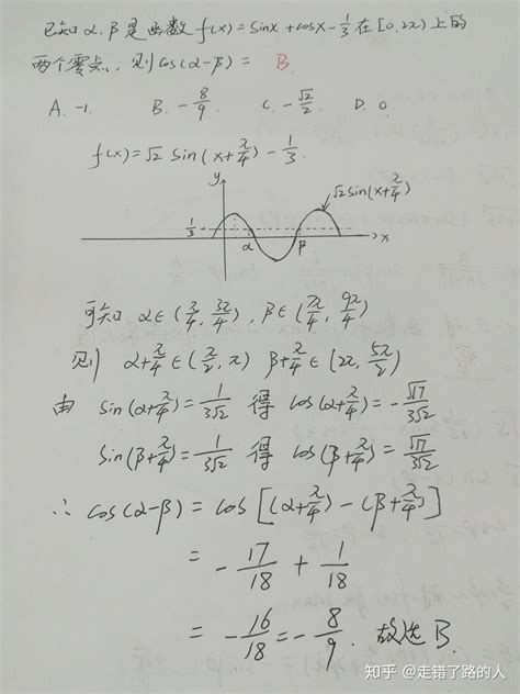
微专题:辅助角公式(又称 …
663×1223
zhuanlan.zhihu.com
高成龙——辅助角公式模型 …
2048×1536
zhuanlan.zhihu.com
辅助角公式,你真的掌握了吗 - 知乎
411×409
baike.so.com
辅助角图册_360百科
680×572
zhuanlan.zhihu.com
三角函数中的对偶式VS辅助角公式+配凑 …
8:54
bilibili.com > 露露酱老师
辅助角公式的推导
bilibili · 露露酱老师 · 1.7万 个浏览人数 · 2020年2月9日
2048×1536
zhuanlan.zhihu.com
辅助角公式,你真的掌握了吗 - 知乎
1536×2048
zhuanlan.zhihu.com
再谈谈辅助角公式 - 知乎
720×960
zhihu.com
辅助角公式中,辅助角的范围为什么是 (-π/2, π/2)? - 知乎
720×960
zhihu.com
辅助角公式中,辅助角的范围为什么是 (-π/…
554×790
zhihu.com
辅助角公式中,辅助角的范围为什么是 ( …
554×915
zhihu.com
辅助角公式中,辅助角的 …
720×960
zhihu.com
辅助角公式中,辅助角的 …
1248×720
iqiyi.com
辅助角公式典型例题2-爱奇艺
554×115
gaosan.com
辅助角公式是什么_高三网
1366×768
zhuanlan.zhihu.com
三角函数 辅助角公式 保姆级简单推导 - 知乎
1022×3502
zhuanlan.zhihu.com
微专题:辅助角公式(又称 …
720×396
zhuanlan.zhihu.com
辅助角公式 - 知乎
720×383
zhihu.com
辅助角公式怎么推导? - 知乎
1124×180
zhihu.com
辅助角公式怎么推导? - 知乎
860×484
zy.21cnjy.com
5.5.2简单的三角恒等变换(第2课时 辅助角公式、半角公式) 课件(共57张P…
1080×487
zhuanlan.zhihu.com
高考热点专题---三角函数最强技巧之辅助角公式 - 知乎
1080×1532
zhuanlan.zhihu.com
高考热点专题---三角函数最 …
1080×604
zhuanlan.zhihu.com
高考热点专题---三角函数最强技巧之辅助角公式 - 知乎
1080×692
zhuanlan.zhihu.com
高考热点专题---三角函数最强技巧之辅助角公式 - 知乎
1080×674
zhuanlan.zhihu.com
高考热点专题---三角函数最强技巧之辅助角公式 - 知乎
某些结果已被隐藏,因为你可能无法访问这些结果。
显示无法访问的结果
报告不当内容
请选择下列任一选项。
无关
低俗内容
成人
儿童性侵犯
反馈