你提供的照片可能用于改善必应图片处理服务。
隐私政策
|
使用条款
无法使用此链接。检查链接是否以 "http://" 或 "https://" 开头,然后重试。
无法处理此搜索。请尝试其他图像或关键字。
试用视觉搜索
使用图像搜索、识别对象和文本、翻译或解决问题
将一个或多个图像拖到此处,
上传图像
或
打开相机
将图像放置到任意位置以开始搜索
要使用可视化搜索,请在浏览器中启用相机
English
全部
搜索
图片
灵感
创建
集合
视频
地图
资讯
更多
购物
航班
旅游
笔记本
自动播放所有 GIF
在这里更改自动播放及其他图像设置
自动播放所有 GIF
拨动开关以打开
自动播放 GIF
图片尺寸
全部
小
中
大
特大
至少... *
自定义宽度
x
自定义高度
像素
请为宽度和高度输入一个数字
颜色
全部
仅限颜色
黑白
类型
全部
照片
剪贴画
素描
动画 GIF
透明
版式
全部
方形
横版
高
人物
全部
仅脸部
半身像
日期
全部
过去 24 小时
过去一周
过去一个月
去年
授权
全部
所有创作共用
公共领域
免费分享和使用
在商业上免费分享和使用
免费修改、分享和使用
在商业上免费修改、分享和使用
详细了解
清除筛选条件
安全搜索:
中等
严格
中等(默认)
关闭
筛选器
768×1024
scribd.com
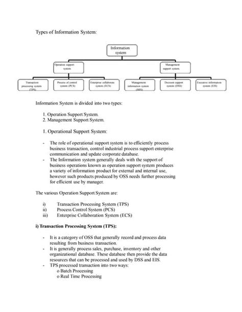
Types of Information Sys…
1600×1476
colourbox.com
types of Information Systems | Stock image | …
638×479
slideshare.net
Management Information System Types
850×440
researchgate.net
Types of Information System | Download Scientific Diagram
603×603
researchgate.net
Types of Information System | Download S…
768×1024
scribd.com
Types of Information Syste…
1536×864
interviewbit.com
The 6 Types of Information Systems (2023) - InterviewBit
2048×1536
slideshare.net
Types of information system | PPTX
2048×1536
slideshare.net
Types of information system | PPTX
495×640
slideshare.net
Types Of Information System.pdf
1600×1370
cartoondealer.com
Types Of Information System For MIS, TPS, DSS And EIS Icon C…
512×288
limbd.org
Information System | Types of Information Systems | Components of ...
683×438
blogspot.com
DIFFERENT TYPES OF INFORMATION SYSTEM
1200×628
knowledgehut.com
Types of Information Systems: 6 Information System Types and Applications
2048×1536
slideshare.net
Information System Concepts & Types of Information Systems | PPTX
1024×768
SlideServe
PPT - Types of Information System PowerPoint Presentatio…
850×696
ResearchGate
Comparison of information system types. | Download T…
1390×797
blogspot.com
Lecture Notes and Tutorials: TYPES OF INFORMATION SYSTEM
960×720
slideteam.net
Types Of Information System Diagram Powerpoint Template…
1024×538
design.udlvirtual.edu.pe
Types Of Information System Architecture - Design Talk
1024×768
slideserve.com
PPT - Understanding the Four Levels of Information Systems …
2048×1536
guruknowledge24.com
What is information system (IS)? Types and components of informat…
1016×1226
insurance-companies.co
Types of Information Systems in Business: Examples
638×359
slideshare.net
Information System and its types.pptx
1000×966
design.udlvirtual.edu.pe
Information System And Its Types Pdf - Design Talk
1280×709
linkedin.com
Information Systems Types
1343×778
ConceptDraw
5 Level pyramid model diagram - Information systems types | Pyramid ...
906×742
storage.googleapis.com
What Are The Different Types Of Information System at Brain Ervin blog
1200×1696
studocu.com
Information system types Handouts - …
1059×666
forsharingknowledge.blogspot.com
sharing: Types of Information Systems
1024×768
slideserve.com
PPT - Types of Information Systems PowerPoint Presentation, free ...
1024×768
slideserve.com
PPT - Types of Information Systems PowerPoint Presentation, free ...
1024×768
slideserve.com
PPT - Types of Information Systems PowerPoint Presentation, free ...
1200×700
naukri.com
The 6 Main Types of Information System - Naukri Code 360
931×698
in.pinterest.com
Types of Information Systems Diagram
某些结果已被隐藏,因为你可能无法访问这些结果。
显示无法访问的结果
报告不当内容
请选择下列任一选项。
无关
低俗内容
成人
儿童性侵犯
反馈