你提供的照片可能用于改善必应图片处理服务。
隐私政策
|
使用条款
无法使用此链接。检查链接是否以 "http://" 或 "https://" 开头,然后重试。
无法处理此搜索。请尝试其他图像或关键字。
试用视觉搜索
使用图像搜索、识别对象和文本、翻译或解决问题
将一个或多个图像拖到此处,
上传图像
或
打开相机
将图像放置到任意位置以开始搜索
要使用可视化搜索,请在浏览器中启用相机
English
全部
搜索
图片
灵感
创建
集合
视频
地图
资讯
更多
购物
航班
旅游
笔记本
自动播放所有 GIF
在这里更改自动播放及其他图像设置
自动播放所有 GIF
拨动开关以打开
自动播放 GIF
图片尺寸
全部
小
中
大
特大
至少... *
自定义宽度
x
自定义高度
像素
请为宽度和高度输入一个数字
颜色
全部
仅限颜色
黑白
类型
全部
照片
剪贴画
素描
动画 GIF
透明
版式
全部
方形
横版
高
人物
全部
仅脸部
半身像
日期
全部
过去 24 小时
过去一周
过去一个月
去年
授权
全部
所有创作共用
公共领域
免费分享和使用
在商业上免费分享和使用
免费修改、分享和使用
在商业上免费修改、分享和使用
详细了解
清除筛选条件
安全搜索:
中等
严格
中等(默认)
关闭
筛选器
534×401
www.reddit.com
P3P original and port remaster graphics comparison : r/Megaten
640×640
www.reddit.com
I really want a P3P remake with P5R graphics : r/Churc…
1300×845
alamy.com
P3P concept with Electronic Integrated Circuit on circuit board. P3P ...
1064×1092
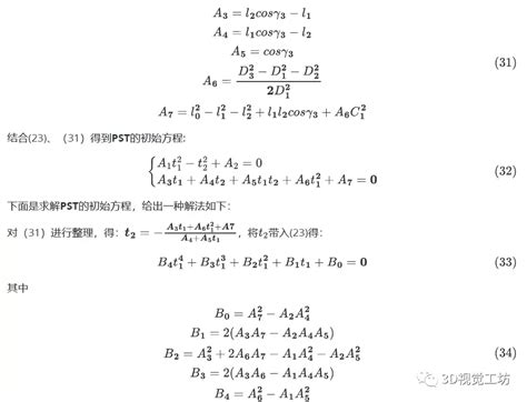
zhuanlan.zhihu.com
一文详解PnP算法原理 - 知乎
1280×800
gcores.com
机核 GCORES
1280×800
gcores.com
机核 GCORES
1097×615
yxss.com
P3P下载-P3P单机游戏下载-搜搜游戏
720×405
zhuanlan.zhihu.com
P4G、P3P评分解禁!switch支持丝滑60FPS - 知乎
1034×810
zhuanlan.zhihu.com
【PCIe】P2P功能介绍 - 知乎
1024×577
huaban.com
p3_poster.png (1024×577)-花瓣网
975×822
zhuanlan.zhihu.com
一文详解PnP算法原理 - 知乎
550×315
gamersky.com
《P3P》《P4G》将推出实体盘:标准版售价255元起 _ 游民星空 GamerSky.com
1330×346
zhuanlan.zhihu.com
科研作图的一些个人想法 - 知乎
1348×438
zhuanlan.zhihu.com
科研作图的一些个人想法 - 知乎
550×270
gamersky.com
《P3P》《P4G》官宣明年1月19日发售 加入XGP _ 游民星空 GamerSky.com
800×450
docs.pingcode.com
ppp项目如何支付工程进度款 | PingCode智库
600×788
baike.so.com
p3p_360百科
991×586
zhuanlan.zhihu.com
一文详解PnP算法原理 - 知乎
370×370
cloud.tencent.com
3 个进程 P1、P2、P3 互斥地使用一个包含 N(N …
402×175
asia.sega.com
P3P - 《女神异闻录3 携带版》|复刻移植版官方网站
800×447
bbs.nga.cn
历时三年,p3p通关,牢理是真的似了吗 NGA玩家社区
1440×602
zhuanlan.zhihu.com
多此一举丨金邦P3P固态硬盘评测,你说你搞个金属壳干啥呢,去买达墨 - 知乎
2710×1139
zhuanlan.zhihu.com
多此一举丨金邦P3P固态硬盘评测,你说你搞个金属壳干啥呢,去买达墨 - 知乎
1064×1092
cloud.tencent.com
一文详解PnP算法原理-腾讯云开发者社区-腾讯云
1269×704
vgover.com
P3R已开启预购!P3P是否值得购买?(附购买建议)_电玩帮
3348×2365
vgover.com
P3R已开启预购!P3P是否值得购买?(附购买建议)_电 …
1152×648
vgover.com
P3R已开启预购!P3P是否值得购买?(附购买建议)_电玩帮
600×420
zhuanlan.zhihu.com
【笔记】P4: Portable Parallel Processing Pipelines for Intera…
398×212
vgover.com
P3R已开启预购!P3P是否值得购买?(附购买建议)_电玩帮
1202×558
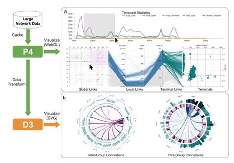
zhuanlan.zhihu.com
【笔记】P4: Portable Parallel Processing Pipelines for Interactive ...
1138×640
mengdiantv.com
《P3P》《P4G》复刻移植版决定于2023年1月19日(周四)发售! 梦电游戏 nd15.com
639×611
zhuanlan.zhihu.com
视觉SLAM位姿求解方法-P3P:基本原理与代码 …
596×655
3dmgame.com
《P3P》《P4G》官方售价确定 税后 …
996×323
blog.51cto.com
一文详解PnP算法原理_wx5d23599e462fa的技术博客_51CTO博客
0:47
www.youtube.com > Pio
P3P PC MOD - 3D Event Proof of Concept
YouTube · Pio · 7920 个浏览人数 · 2023年4月19日
某些结果已被隐藏,因为你可能无法访问这些结果。
显示无法访问的结果
报告不当内容
请选择下列任一选项。
无关
低俗内容
成人
儿童性侵犯
反馈