你提供的照片可能用于改善必应图片处理服务。
隐私政策
|
使用条款
无法使用此链接。检查链接是否以 "http://" 或 "https://" 开头,然后重试。
无法处理此搜索。请尝试其他图像或关键字。
试用视觉搜索
使用图像搜索、识别对象和文本、翻译或解决问题
将一个或多个图像拖到此处,
上传图像
或
打开相机
将图像放置到任意位置以开始搜索
要使用可视化搜索,请在浏览器中启用相机
English
全部
搜索
图片
灵感
创建
集合
视频
地图
资讯
更多
购物
航班
旅游
笔记本
Local Sign Thm 的热门建议
Shop
Local Sign
Local
Business Signs
Buy
Local Sign
Local Sign
for House
Local
Trading Sign
We Are
Local Sign
Custom
Local Signs
Road Closed Local
Traffic Only Sign
Local
Artist Sign
Local Sign
Language
Shop Local
Small Business Sign
Outdoor Pole
Signs
Local
Street Signs
Not
Local Sign
Local
Information Sign
Watchfire
Signs
Local
ASL Sign
Shop Local Sign
Stickers
Local
Product. Sign
Local
Route Sign
Local
Store Signs
Lotze's
Local Sign
Local
Direction Signs
Informational
Signs
Building
Signs
Houston
Sign
Local
Handmade Signs
Hub
Sign
Local
Services Sign
Digital Reader Board
Signs
Round
Local Sign
Local
Authority Sign
Now at Your
Local Stores Sign
Made
Local Signs
Welcome Entrance
Signs
Give Local
Printable Sign
Our Local
Area Sign
Sign Decor Local
Places
Let's Go Local
Shop Sign Sample
Please Use Window
Sign
Symbol for
Local
Attached.
Sign
Local
Amenities Sign
Local
Signage
Campaign-Style
Sign
Diu Thm
Logo
Sign
Lolal
Light Pole
Signs
Logo Signé
Local
Local
and Handcrafted Sign
自动播放所有 GIF
在这里更改自动播放及其他图像设置
自动播放所有 GIF
拨动开关以打开
自动播放 GIF
图片尺寸
全部
小
中
大
特大
至少... *
自定义宽度
x
自定义高度
像素
请为宽度和高度输入一个数字
颜色
全部
仅限颜色
黑白
类型
全部
照片
剪贴画
素描
动画 GIF
透明
版式
全部
方形
横版
高
人物
全部
仅脸部
半身像
日期
全部
过去 24 小时
过去一周
过去一个月
去年
授权
全部
所有创作共用
公共领域
免费分享和使用
在商业上免费分享和使用
免费修改、分享和使用
在商业上免费修改、分享和使用
详细了解
清除筛选条件
安全搜索:
中等
严格
中等(默认)
关闭
筛选器
Shop
Local Sign
Local
Business Signs
Buy
Local Sign
Local Sign
for House
Local
Trading Sign
We Are
Local Sign
Custom
Local Signs
Road Closed Local
Traffic Only Sign
Local
Artist Sign
Local Sign
Language
Shop Local
Small Business Sign
Outdoor Pole
Signs
Local
Street Signs
Not
Local Sign
Local
Information Sign
Watchfire
Signs
Local
ASL Sign
Shop Local Sign
Stickers
Local
Product. Sign
Local
Route Sign
Local
Store Signs
Lotze's
Local Sign
Local
Direction Signs
Informational
Signs
Building
Signs
Houston
Sign
Local
Handmade Signs
Hub
Sign
Local
Services Sign
Digital Reader Board
Signs
Round
Local Sign
Local
Authority Sign
Now at Your
Local Stores Sign
Made
Local Signs
Welcome Entrance
Signs
Give Local
Printable Sign
Our Local
Area Sign
Sign Decor Local
Places
Let's Go Local
Shop Sign Sample
Please Use Window
Sign
Symbol for
Local
Attached.
Sign
Local
Amenities Sign
Local
Signage
Campaign-Style
Sign
Diu Thm
Logo
Sign
Lolal
Light Pole
Signs
Logo Signé
Local
Local
and Handcrafted Sign
1905×1481
sunsetsignsoc.com
Local Sign Maker • Custom Signs • Design • Manufacture • Install
499×423
quizlet.com
THM PreSec #2: Intro to LAN Flashcards | Quizlet
548×176
researchgate.net
At order 0, Regime A, the sign of Λ (local value) indicates the local ...
246×246
researchgate.net
Diagram for calculating the sign of ∆l | Downloa…
1024×768
slideserve.com
PPT - Existence and Uniqueness Theorem (Local Theorem) Power…
1506×467
Stack Exchange
algebraic topology - Commutative diagram in defining local degree ...
684×866
math.stackexchange.com
differential geometry - Proof of the loc…
1024×768
SlideServe
PPT - Existence and Uniqueness Theorem (Local Theorem) PowerPoint ...
1024×768
SlideServe
PPT - Existence and Uniqueness Theorem (Local Theorem) PowerPoint ...
1024×768
SlideServe
PPT - Existence and Uniqueness Theorem (Local Theorem) PowerPoint ...
1024×768
SlideServe
PPT - Existence and Uniqueness Theorem (Local Theorem) PowerPoint ...
735×726
researchgate.net
λ, µ-diagrams represent the nonlocal, local diagrams res…
1024×768
slideserve.com
PPT - Local Linearity and Approximation PowerPoi…
545×213
math.stackexchange.com
Need help understanding local coordinates of differential forms ...
1302×482
semanticscholar.org
Figure 1 from The Sign Problem and MEM in Lattice Field Theory with the ...
1338×205
math.stackexchange.com
linear algebra - On the Fundamental Theorem of the Local Theory of ...
850×566
researchgate.net
Schematic illustration of the idea behind the proof of the local ...
1024×1024
alphagraphics.com
Campaign Signs: Local Symbols, Nati…
1015×341
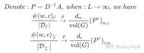
zhuanlan.zhihu.com
【论文笔记】Deep Learning for Symbolic Mathematics - 知乎
382×63
guanjihuan.com
一个实空间拓扑不变量的公式推导(local Chern marker) - Ji-Huan Guan
600×113
zhuanlan.zhihu.com
开源LLM大模型位置编码探索 - 知乎
557×112
guanjihuan.com
一个实空间拓扑不变量的公式推导(local Chern marker) - Ji-Huan Guan
536×66
guanjihuan.com
一个实空间拓扑不变量的公式推导(local Chern marker) - Ji-Huan Guan
1568×160
zhuanlan.zhihu.com
sign函数(符号函数) - 知乎
2300×1402
zhuanlan.zhihu.com
[论文分享] Symbol-LLM: 统一符号的开源基座大模型 - 知乎
642×366
ppmy.cn
TH方程学习(1)
1440×680
zhuanlan.zhihu.com
[ACL'24 论文分享] Symbol-LLM: 统一符号的开源基座大模型 - 知乎
1440×1342
zhuanlan.zhihu.com
[ACL'24 论文分享] Symbol-LLM: 统一符 …
1493×549
zhuanlan.zhihu.com
[ACL'24 论文分享] Symbol-LLM: 统一符号的开源基座大模型 - 知乎
764×166
zhuanlan.zhihu.com
开源LLM大模型位置编码探索 - 知乎
712×960
ishiganto.tumblr.com
石敢當
1058×1024
satyrswang.github.io
SVM | satyrswang
756×282
zhuanlan.zhihu.com
图表示学习 实践与思考 - 知乎
660×620
cloud.tencent.com
首个符号大模型!Symbol- LLM:探索自然语言与符号之间的能力平衡-腾讯 …
705×367
zhuanlan.zhihu.com
LLM专栏-4.位置编码(Positional Encoding) - 知乎
某些结果已被隐藏,因为你可能无法访问这些结果。
显示无法访问的结果
报告不当内容
请选择下列任一选项。
无关
低俗内容
成人
儿童性侵犯
反馈