你提供的照片可能用于改善必应图片处理服务。
隐私政策
|
使用条款
无法使用此链接。检查链接是否以 "http://" 或 "https://" 开头,然后重试。
无法处理此搜索。请尝试其他图像或关键字。
试用视觉搜索
使用图像搜索、识别对象和文本、翻译或解决问题
将一个或多个图像拖到此处,
上传图像
或
打开相机
将图像放置到任意位置以开始搜索
要使用可视化搜索,请在浏览器中启用相机
English
全部
搜索
图片
灵感
创建
集合
视频
地图
资讯
更多
购物
航班
旅游
笔记本
Moran Process 的热门建议
Model
Moran
Moran's
I Formula
Moran
vs Mocn
Marland
Process
Moran
Family
Morni
Sketch
Moran Process
On Graph
Jerry Moran
Quotes
Moran
Effect
Moran
Sketches 2Ha
Moran
Ancestry
Plant Layout Design with Trace
Process
Jack Moran
Ideas Jack Moran Graphics Design
Jeremy Moran
Transition
Key Features of the Modified
Moran Process Images
Moran
Family Tree
Blue Witch
Moran Moran Paiting
Introduction to to the Modified
Moran Process Images
Basic Moran
Narok
Daniel
Moran
Image We Now Have a Right to a Process Not Perfection
Fixation Probability
Equation
Sita
Moara
Moran
Family Buncrana Ancestry Tree
Moran
Conversational Loom
I. Historical Background Ofmoran
Process Images
对 Moran Process 感兴趣的人还搜索了
Branching
Process
Selection
Coefficient
Fixation
Genotype
Frequency
Fitness
Landscape
自动播放所有 GIF
在这里更改自动播放及其他图像设置
自动播放所有 GIF
拨动开关以打开
自动播放 GIF
图片尺寸
全部
小
中
大
特大
至少... *
自定义宽度
x
自定义高度
像素
请为宽度和高度输入一个数字
颜色
全部
仅限颜色
黑白
类型
全部
照片
剪贴画
素描
动画 GIF
透明
版式
全部
方形
横版
高
人物
全部
仅脸部
半身像
日期
全部
过去 24 小时
过去一周
过去一个月
去年
授权
全部
所有创作共用
公共领域
免费分享和使用
在商业上免费分享和使用
免费修改、分享和使用
在商业上免费修改、分享和使用
详细了解
清除筛选条件
安全搜索:
中等
严格
中等(默认)
关闭
筛选器
Model
Moran
Moran's
I Formula
Moran
vs Mocn
Marland
Process
Moran
Family
Morni
Sketch
Moran Process
On Graph
Jerry Moran
Quotes
Moran
Effect
Moran
Sketches 2Ha
Moran
Ancestry
Plant Layout Design with Trace
Process
Jack Moran
Ideas Jack Moran Graphics Design
Jeremy Moran
Transition
Key Features of the Modified
Moran Process Images
Moran
Family Tree
Blue Witch
Moran Moran Paiting
Introduction to to the Modified
Moran Process Images
Basic Moran
Narok
Daniel
Moran
Image We Now Have a Right to a Process Not Perfection
Fixation Probability
Equation
Sita
Moara
Moran
Family Buncrana Ancestry Tree
Moran
Conversational Loom
I. Historical Background Ofmoran
Process Images
200×131
wiki.evoludo.org
Spatial Moran process - EvoLudo
400×263
wiki.evoludo.org
Spatial Moran process - EvoLudo
300×198
wiki.evoludo.org
Moran process - EvoLudo
400×263
wiki.evoludo.org
Moran process - EvoLudo
255×330
deepai.org
The Moran Genealogy Process | DeepAI
960×562
chegg.com
Solved In this exercise we will implement a simplified | Chegg.com
1280×960
nashpy.readthedocs.io
Moran Processes — Nashpy 0.0.41 documentation
512×384
nashpy.readthedocs.io
Moran Processes — Nashpy 0.0.41 documentation
512×384
nashpy.readthedocs.io
Moran Processes — Nashpy 0.0.43 documentation
450×296
wiki.evoludo.org
Moran graphs - EvoLudo
689×586
ResearchGate
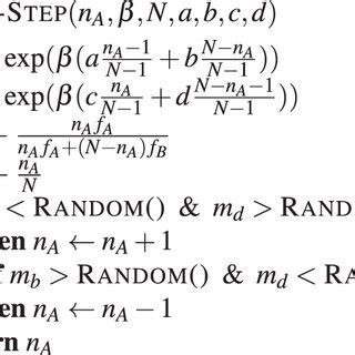
Moran multi step. Simulates several steps of the Moran process with t…
640×640
ResearchGate
Moran multi step. Simulates several steps of the Moran p…
对
Moran Process
感兴趣的人还搜索了
Branching Process
Selection Coefficient
Fixation
Genotype Frequency
Fitness Landscape
820×525
ResearchGate
Naive Moran step. Simulates a step of the Moran process with two types ...
640×640
researchgate.net
Moran process for the N protein bindings | Dow…
320×320
ResearchGate
Naive Moran step. Simulates a step of th…
320×320
researchgate.net
Evolutionary dynamics under the Moran proce…
842×564
researchgate.net
Evolutionary trajectories of the simulated Moran process (gray line…
159×120
evoludo.org
Evolutionary dynamics on graphs
320×320
researchgate.net
Evolutionary dynamics under the Moran proc…
159×121
evoludo.org
Evolutionary dynamics on graphs
159×120
evoludo.org
Evolutionary dynamics on graphs
758×536
researchgate.net
Exponential evolution of the mean mutation rate on a linear landscap…
320×320
researchgate.net
Exponential evolution of the mean mutation rat…
162×95
evoludo.org
Evolutionary dynamics on graphs
320×320
researchgate.net
Fitness landscape function associated to t…
575×575
researchgate.net
Mean mutation rate saturation at the fitnes…
600×409
researchgate.net
The basic principles of the Moran process | Download Scientific Diagram
850×581
researchgate.net
Duality between the Moran model and the discrete partitioning process ...
640×640
researchgate.net
Moran Process fit to Gompertzian Growth Dat…
850×675
researchgate.net
Moran Process fit to Gompertzian Growth Data. | Download Scienti…
850×594
researchgate.net
The modified Moran process as a revision protocol for an evolutionary ...
850×191
researchgate.net
(a) Mean damage of a population of 5000 cells undergoing a Moran ...
850×563
researchgate.net
Accelerated evolution through passenger mutations in the Moran process ...
640×640
researchgate.net
Accelerated evolution through passenger mutatio…
683×450
researchgate.net
The Sampled Moran Genealogy Process (SMGP). (A) The tree representation ...
某些结果已被隐藏,因为你可能无法访问这些结果。
显示无法访问的结果
报告不当内容
请选择下列任一选项。
无关
低俗内容
成人
儿童性侵犯
反馈