你提供的照片可能用于改善必应图片处理服务。
隐私政策
|
使用条款
无法使用此链接。检查链接是否以 "http://" 或 "https://" 开头,然后重试。
无法处理此搜索。请尝试其他图像或关键字。
试用视觉搜索
使用图像搜索、识别对象和文本、翻译或解决问题
将一个或多个图像拖到此处,
上传图像
或
打开相机
将图像放置到任意位置以开始搜索
要使用可视化搜索,请在浏览器中启用相机
English
全部
搜索
图片
灵感
创建
集合
视频
地图
资讯
更多
购物
航班
旅游
笔记本
自动播放所有 GIF
在这里更改自动播放及其他图像设置
自动播放所有 GIF
拨动开关以打开
自动播放 GIF
图片尺寸
全部
小
中
大
特大
至少... *
自定义宽度
x
自定义高度
像素
请为宽度和高度输入一个数字
颜色
全部
仅限颜色
黑白
类型
全部
照片
剪贴画
素描
动画 GIF
透明
版式
全部
方形
横版
高
人物
全部
仅脸部
半身像
日期
全部
过去 24 小时
过去一周
过去一个月
去年
授权
全部
所有创作共用
公共领域
免费分享和使用
在商业上免费分享和使用
免费修改、分享和使用
在商业上免费修改、分享和使用
详细了解
清除筛选条件
安全搜索:
中等
严格
中等(默认)
关闭
筛选器
960×960
r-charts.com
The matplot and matlines functions in R [Plot Colu…
480×480
riptutorial.com
R Language Tutorial => Matplot
480×480
riptutorial.com
R Language Tutorial => Matplot
902×503
riptutorial.com
R Language Tutorial => Matplot
640×649
analytics4all.org
R: Graphing with matplot() – Analytics4All
640×640
analytics4all.org
R: Graphing with matplot() – Analytics…
723×273
analytics4all.org
R: Graphing with matplot() – Analytics4All
1622×865
Stack Overflow
matplotlib - How to create labels and subplot for a trajectory graph ...
1086×734
blog.westmorr.com
Plotting Matrices in R with Matplot - Westmorr Consulting
379×359
r-coder.com
LINE GRAPHS in R 📈 [With plot and matplot functions]
690×780
Stack Exchange
Plot symbols from R as latex symbols - T…
320×292
blogspot.com
Yu-Sung Su's Blog: Plot symbols in R
400×377
blogspot.com
Experience with R: special symbols on R plot
80×17
r-bloggers.com
Math symbols in R charts: a ch…
390×532
r-bloggers.com
Math symbols in R charts: a che…
984×702
fertcrown.weebly.com
Math symbols in rmarkdown plot - fertcrown
560×596
Stack Overflow
Adding arrow symbols in ggplot text in R - St…
958×590
stackoverflow.com
R plot symbols on axis not shown correctly - Stack Overflow
592×286
Stack Overflow
plot - R symbol background for custom symbols - Stack Overflow
700×70
macarenaquiroga.com
Help! How do I do a plot in R? | Macarena Quiroga
2146×1664
stackoverflow.com
r markdown - how to add the sign of the graph in r - Stack …
1177×123
Stack Overflow
Different plotting symbols in r scatter plot - Stack Overflow
647×697
stackoverflow.com
plot - Plotting symbols in R as Pie Charts of the …
518×313
Stack Overflow
math - R: Combine text and mathematical symbols in axis label using ...
637×484
Stack Overflow
How to make custom plot symbols from vector graphics in R - Stack O…
1613×1012
Stack Overflow
How to make custom plot symbols from vector graphics in R - Stack Overflow
1226×948
Stack Overflow
rstudio - Changing scatterplot symbols according to a text string in R ...
2100×2100
stackoverflow.com
plot - R Base Graphic: Annotate with logical symbols (and/or) - S…
746×590
Stack Overflow
r - How can I change legend symbols (key glyphs) to match the plot ...
643×648
stackoverflow.com
How to set symbols and colors to distinguish data in an R plot? - …
1226×1002
Stack Overflow
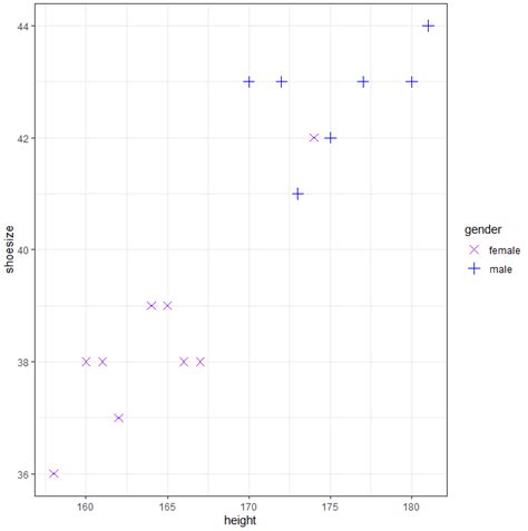
How to use multiple symbols in plots based on different varia…
1160×1036
Stack Overflow
How to use multiple symbols in plots based on different …
488×180
biomooc.com
R 教程 | 生物慕课网
953×875
Stack Overflow
r - Plotting symbols fails in PDF - Stack Overflow
480×480
stackoverflow.com
r - Is there a way to access math symbols for plotting? …
某些结果已被隐藏,因为你可能无法访问这些结果。
显示无法访问的结果
报告不当内容
请选择下列任一选项。
无关
低俗内容
成人
儿童性侵犯
反馈