你提供的照片可能用于改善必应图片处理服务。
隐私政策
|
使用条款
无法使用此链接。检查链接是否以 "http://" 或 "https://" 开头,然后重试。
无法处理此搜索。请尝试其他图像或关键字。
试用视觉搜索
使用图像搜索、识别对象和文本、翻译或解决问题
将一个或多个图像拖到此处,
上传图像
或
打开相机
将图像放置到任意位置以开始搜索
要使用可视化搜索,请在浏览器中启用相机
English
全部
搜索
图片
灵感
创建
集合
视频
地图
资讯
更多
购物
航班
旅游
笔记本
自动播放所有 GIF
在这里更改自动播放及其他图像设置
自动播放所有 GIF
拨动开关以打开
自动播放 GIF
图片尺寸
全部
小
中
大
特大
至少... *
自定义宽度
x
自定义高度
像素
请为宽度和高度输入一个数字
颜色
全部
仅限颜色
黑白
类型
全部
照片
剪贴画
素描
动画 GIF
透明
版式
全部
方形
横版
高
人物
全部
仅脸部
半身像
日期
全部
过去 24 小时
过去一周
过去一个月
去年
授权
全部
所有创作共用
公共领域
免费分享和使用
在商业上免费分享和使用
免费修改、分享和使用
在商业上免费修改、分享和使用
详细了解
清除筛选条件
安全搜索:
中等
严格
中等(默认)
关闭
筛选器
768×1024
Scribd
Syntax Analysis | PDF | Parsing | Rules
768×1024
scribd.com
Syntax Analysis or Parsing | PDF | Parsin…
768×1024
scribd.com
Chapter #3 Syntax Analysis | PDF | Parsi…
768×1024
scribd.com
Chapter 5 Syntax Analysis | PDF | Parsi…
768×1024
scribd.com
Chapter 4 - Syntax Analysis | PDF | Parsi…
768×1024
scribd.com
Ch3 - Syntax Analysis | PDF | Parsing | Synta…
600×842
researchgate.net
An example of syntax analysis…
624×240
teachcomputerscience.com
Syntax Analysis | Overview, What Is, Role & Where Used
1376×1088
islandclass.org
Syntax analysis (parsing) – Island Class
543×193
teachcomputerscience.com
Syntax Analysis | Overview, What Is, Role & Where Used
1418×1417
botpenguin.com
Syntax Analysis: Types and Applications | BotPenguin
2048×1536
slideshare.net
Compiler: Syntax Analysis | PPTX
1024×768
SlideServe
PPT - Syntax Analysis PowerPoint Presentation, free download - ID:12…
640×360
slideshare.net
Syntax_Analysis_Syntax analysis_NLP.pptx
1024×768
SlideServe
PPT - Syntax Analysis PowerPoint Presentation, free download - ID:4842963
1024×768
slideserve.com
PPT - Syntax Analysis - Parsing PowerPoint Presentation, free download ...
1024×768
slideserve.com
PPT - Syntax Analysis - Parsing PowerPoint Presentation, free download ...
720×540
slideserve.com
PPT - Syntax Analysis - Parsing PowerPoint Presentation, free downl…
1620×2290
studypool.com
SOLUTION: Syntax analysis …
1024×768
slideserve.com
PPT - Syntax Analysis PowerPoint Presentation, free download - ID:6383734
1024×768
SlideServe
PPT - Syntax Analysis / Parser PowerPoint Presentation, free download ...
1024×768
SlideServe
PPT - Syntax Analysis / Parser PowerPoint Present…
600×192
iq.opengenus.org
Syntax Analysis in Compiler Design
2048×1536
slideshare.net
Lecture 04 syntax analysis | PPT
911×486
naukri.com
Syntax Analysis - Naukri Code 360
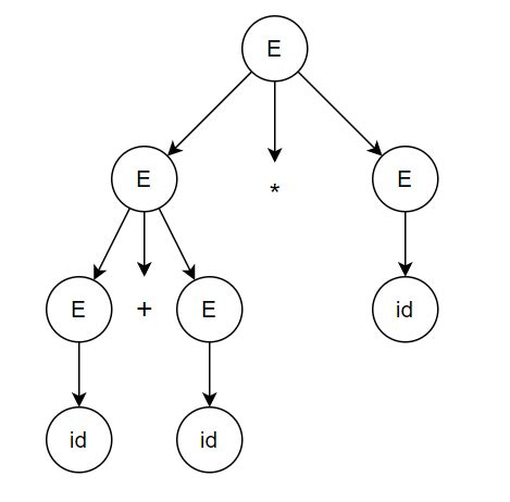
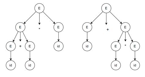
469×462
naukri.com
Syntax Analysis - Naukri Code 360
320×180
slideshare.net
Compiler design syntax analysis | PPTX
1024×768
SlideServe
PPT - Syntax Analysis in Programming Languages: Understanding CFGs and ...
1024×768
SlideServe
PPT - Syntax Analysis in Programming Languages: Underst…
1024×768
SlideServe
PPT - Chapter 4: Syntax analysis PowerPoint Presentation, free download ...
452×240
CWI
Chapter 1. Quick Introduction to Syntax Analysis
685×668
Guru99
Syntax Analysis: Compiler Top Down & Bottom Up …
672×504
Guru99
Syntax Analysis: Compiler Top Down & Bottom Up Parsing Types
1620×1215
studypool.com
SOLUTION: Chapter 4 syntax analysis - Studypool
768×1024
scribd.com
Chapter 3 Syntax Analysis | PDF | Pa…
某些结果已被隐藏,因为你可能无法访问这些结果。
显示无法访问的结果
报告不当内容
请选择下列任一选项。
无关
低俗内容
成人
儿童性侵犯
反馈